O Level
CAIE > O Level
2
Mathematics D [4024]
Paper 1
Paper 2
A Level
CAIE > A Level
4
Mathematics [9709]
Pure Mathematics 1
Pure Mathematics 3
Mechanics
Probability and Statistics 1
Back
CAIE: O Level - Mathematics D 4024 - Paper 2
Statistics / Mean, Median and Mode
KEYPOINTS:
Mean:
\(\overline{x} = \frac{\sum x}{n}\)
[Ungrouped Data],
\(\overline{x} = \frac{\sum fx}{\sum f}\)
[Grouped Data]
Median:
Middle value when terms are arranged in ascending or descending order
Mode:
Most occurring value
Modal Class:
Class interval with highest frequency
Range:
Highest Value – Lowest Value
Past Papers Topic Wise Questions
O Level: Mathematics D 4024 - Paper 2
Statistics | Mean, Median and Mode
1
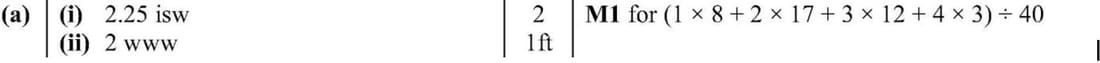
Marking Scheme
Marking Scheme : 1
×
Youtube : 1
×
2
Marking Scheme
Marking Scheme : 2
×
Youtube : 2
×
3
Marking Scheme
Marking Scheme : 3
×
Youtube : 3
×
4
Marking Scheme
Marking Scheme : 4
×
Youtube : 4
×
5
Marking Scheme
Marking Scheme : 5
×
Youtube : 5
×
6
Marking Scheme
Marking Scheme : 6
×
Youtube : 6
×
7
Marking Scheme
Marking Scheme : 7
×
Youtube : 7
×
8
Marking Scheme
Marking Scheme : 8
×
Youtube : 8
×
9
Marking Scheme
Marking Scheme : 9
×
Youtube : 9
×
10
Marking Scheme
Marking Scheme : 10
×
Youtube : 10
×
11
Marking Scheme
Marking Scheme : 11
×
Youtube : 11
×
12
Marking Scheme
Marking Scheme : 12
×
Youtube : 12
×
13
Marking Scheme
Marking Scheme : 13
×
Youtube : 13
×
14
Marking Scheme
Marking Scheme : 14
×
Youtube : 14
×
15
Marking Scheme
Marking Scheme : 15
×
Youtube : 15
×
16
Marking Scheme
Marking Scheme : 16
×
Youtube : 16
×
17
Marking Scheme
Marking Scheme : 17
×
Youtube : 17
×
18
Marking Scheme
Marking Scheme : 18
×
Youtube : 18
×
19
Marking Scheme
Marking Scheme : 19
×
Youtube : 19
×
20
Marking Scheme
Marking Scheme : 20
×
Youtube : 20
×
21
Marking Scheme
Marking Scheme : 21
×
Youtube : 21
×
22
Marking Scheme
Marking Scheme : 22
×
Youtube : 22
×
23
Marking Scheme
Marking Scheme : 23
×
Youtube : 23
×
24
Marking Scheme
Marking Scheme : 24
×
Youtube : 24
×
25
Marking Scheme
Marking Scheme : 25
×
Youtube : 25
×
26
Marking Scheme
Marking Scheme : 26
×
Youtube : 26
×
27
Marking Scheme
Marking Scheme : 27
×
Youtube : 27
×
28
Marking Scheme
Marking Scheme : 28
×
Youtube : 28
×
29
Marking Scheme
Marking Scheme : 29
×
Youtube : 29
×
30
Marking Scheme
Marking Scheme : 30
×
Youtube : 30
×
31
Marking Scheme
Marking Scheme : 31
×
Youtube : 31
×
32
Marking Scheme
Marking Scheme : 32
×
Youtube : 32
×
33
Marking Scheme
Marking Scheme : 33
×
Youtube : 33
×