O Level
CAIE > O Level
2
Mathematics D [4024]
Paper 1
Paper 2
A Level
CAIE > A Level
4
Mathematics [9709]
Pure Mathematics 1
Pure Mathematics 3
Mechanics
Probability and Statistics 1
Back
CAIE: O Level - Mathematics D 4024 - Paper 1
Numbers / Estimation and Approximation
KEYPOINTS:
All non-zero digits are significant.
All zero (zeros) between non-zero digits is (are) significant. e.g. 205 (3 sf), 2.05 (3 sf)
In whole numbers, zeros after the last non-zero digit are not significant. e.g. 500 (1 sf), 1300 (2 sf)
In decimals, zeros before the first non-zero digit are not significant. e.g. 0.059 (2 sf)
In decimals, zeros after the last non-zero digits are significant. e.g. 2.30 (3 sf)
KNOWLEDGE REQUIRED:
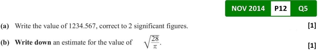
Significant figures, decimal places and rounding off numbers
Past Papers Topic Wise Questions
O Level: Mathematics D 4024 - Paper 1
Numbers | Estimation and Approximation
1
Marking Scheme
Marking Scheme : 1
×
Youtube : 1
×
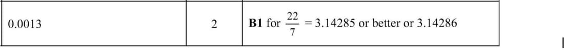
2
Marking Scheme
Marking Scheme : 2
×
Youtube : 2
×
3
Marking Scheme
Marking Scheme : 3
×
Youtube : 3
×
4
Marking Scheme
Marking Scheme : 4
×
Youtube : 4
×
5
Marking Scheme
Marking Scheme : 5
×
Youtube : 5
×
6
Marking Scheme
Marking Scheme : 6
×
Youtube : 6
×
7
Marking Scheme
Marking Scheme : 7
×
Youtube : 7
×
8
Marking Scheme
Marking Scheme : 8
×
Youtube : 8
×
9
Marking Scheme
Marking Scheme : 9
×
Youtube : 9
×
10
Marking Scheme
Marking Scheme : 10
×
Youtube : 10
×
11
Marking Scheme
Marking Scheme : 11
×
Youtube : 11
×
12
Marking Scheme
Marking Scheme : 12
×
Youtube : 12
×
13
Marking Scheme
Marking Scheme : 13
×
Youtube : 13
×
14
Marking Scheme
Marking Scheme : 14
×
Youtube : 14
×
15
Marking Scheme
Marking Scheme : 15
×
Youtube : 15
×
16
Marking Scheme
Marking Scheme : 16
×
Youtube : 16
×
17
Marking Scheme
Marking Scheme : 17
×
Youtube : 17
×
18
Marking Scheme
Marking Scheme : 18
×
Youtube : 18
×
19
Marking Scheme
Marking Scheme : 19
×
Youtube : 19
×
20
Marking Scheme
Marking Scheme : 20
×
Youtube : 20
×
21
Marking Scheme
Marking Scheme : 21
×
Youtube : 21
×
22
Marking Scheme
Marking Scheme : 22
×
Youtube : 22
×
23
Marking Scheme
Marking Scheme : 23
×
Youtube : 23
×
24
Marking Scheme
Marking Scheme : 24
×
Youtube : 24
×
25
Marking Scheme
Marking Scheme : 25
×
Youtube : 25
×
26
Marking Scheme
Marking Scheme : 26
×
Youtube : 26
×
27
Marking Scheme
Marking Scheme : 27
×
Youtube : 27
×
28
Marking Scheme
Marking Scheme : 28
×
Youtube : 28
×
29
Marking Scheme
Marking Scheme : 29
×
Youtube : 29
×
30
Marking Scheme
Marking Scheme : 30
×
Youtube : 30
×
31
Marking Scheme
Marking Scheme : 31
×
Youtube : 31
×
32
Marking Scheme
Marking Scheme : 32
×
Youtube : 32
×
33
Marking Scheme
Marking Scheme : 33
×
Youtube : 33
×
34
Marking Scheme
Marking Scheme : 34
×
Youtube : 34
×
35
Marking Scheme
Marking Scheme : 35
×
Youtube : 35
×
36
Marking Scheme
Marking Scheme : 36
×
Youtube : 36
×
37
Marking Scheme
Marking Scheme : 37
×
Youtube : 37
×
38
Marking Scheme
Marking Scheme : 38
×
Youtube : 38
×
39
Marking Scheme
Marking Scheme : 39
×
Youtube : 39
×
40
Marking Scheme
Marking Scheme : 40
×
Youtube : 40
×
41
Marking Scheme
Marking Scheme : 41
×
Youtube : 41
×
42
Marking Scheme
Marking Scheme : 42
×
Youtube : 42
×
43
Marking Scheme
Marking Scheme : 43
×
Youtube : 43
×
44
Marking Scheme
Marking Scheme : 44
×
Youtube : 44
×
45
Marking Scheme
Marking Scheme : 45
×
Youtube : 45
×
46
Marking Scheme
Marking Scheme : 46
×
Youtube : 46
×
47
Marking Scheme
Marking Scheme : 47
×
Youtube : 47
×
48
Marking Scheme
Marking Scheme : 48
×
Youtube : 48
×
49
Marking Scheme
Marking Scheme : 49
×
Youtube : 49
×
50
Marking Scheme
Marking Scheme : 50
×
Youtube : 50
×
51
Marking Scheme
Marking Scheme : 51
×
Youtube : 51
×
52
Marking Scheme
Marking Scheme : 52
×
Youtube : 52
×
53
Marking Scheme
Marking Scheme : 53
×
Youtube : 53
×
54
Marking Scheme
Marking Scheme : 54
×
Youtube : 54
×
55
Marking Scheme
Marking Scheme : 55
×
Youtube : 55
×
56
Marking Scheme
Marking Scheme : 56
×
Youtube : 56
×
57
Marking Scheme
Marking Scheme : 57
×
Youtube : 57
×
58
Marking Scheme
Marking Scheme : 58
×
Youtube : 58
×
59
Marking Scheme
Marking Scheme : 59
×
Youtube : 59
×
60
Marking Scheme
Marking Scheme : 60
×
Youtube : 60
×
61
Marking Scheme
Marking Scheme : 61
×
Youtube : 61
×
62
Marking Scheme
Marking Scheme : 62
×
Youtube : 62
×
63
Marking Scheme
Marking Scheme : 63
×
Youtube : 63
×