O Level
CAIE > O Level
2
Mathematics D [4024]
Paper 1
Paper 2
A Level
CAIE > A Level
4
Mathematics [9709]
Pure Mathematics 1
Pure Mathematics 3
Mechanics
Probability and Statistics 1
Back
CAIE: A Level - Mathematics 9709 - Pure Mathematics 3
Partial Fractions and Binomial Expansions / Partial Fractions / Degree of Numerator Equal to Denominator
KEYPOINTS:
Improper Algebraic Fractions with linear factors in the denominator
\(\frac{ax^2}{(x+p)(x+q)} ≡ A + \frac{B}{x+p} + \frac{C}{x+q}\)
Improper Algebraic Fractions with repeated factor in the denominator
\(\frac{ax^3}{(x+p)(x+q)^2} ≡ A + \frac{B}{x+p} + \frac{C}{x+q} + \frac{D}{(x+q)^2}\)
Improper Algebraic Fractions with quadratic factor in the denominator
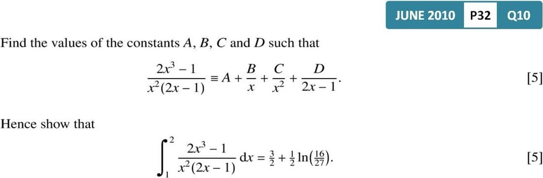
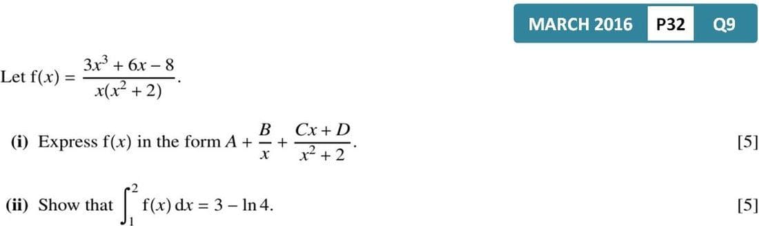
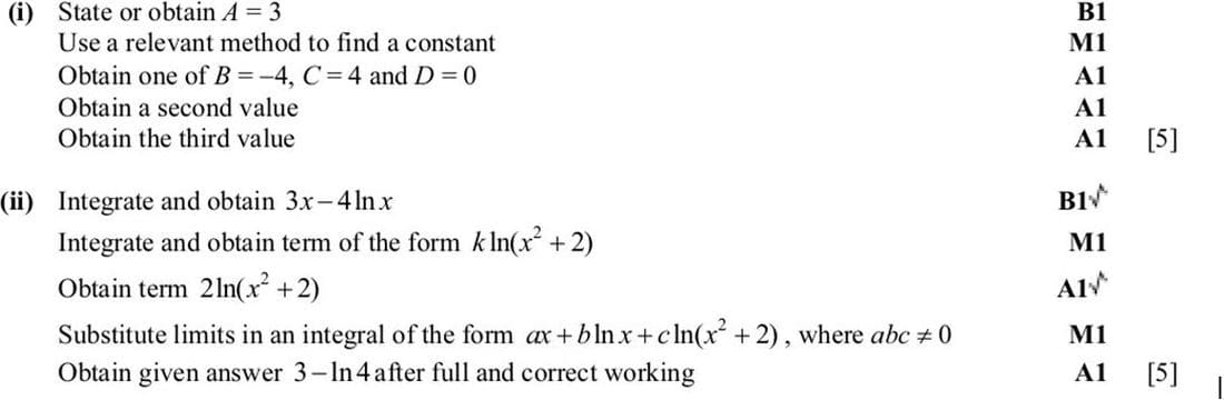
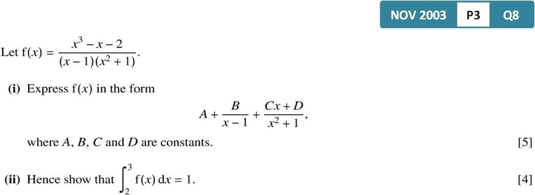
\(\frac{ax^3}{(x+p)(x^2+q)} ≡ A + \frac{B}{x+p} + \frac{Cx+D}{x^2+q}\)
Past Papers Topic Wise Questions
A Level: Mathematics 9709 - Pure Mathematics 3
Partial Fractions and Binomial Expansions | Partial Fractions
1
Marking Scheme
Marking Scheme : 1
×
Youtube : 1
×
2
Marking Scheme
Marking Scheme : 2
×
Youtube : 2
×
3
Marking Scheme
Marking Scheme : 3
×
Youtube : 3
×
4
Marking Scheme
Marking Scheme : 4
×
Youtube : 4
×
5
Marking Scheme
Marking Scheme : 5
×
Youtube : 5
×
6
Marking Scheme
Marking Scheme : 6
×
Youtube : 6
×
7
Marking Scheme
Marking Scheme : 7
×
Youtube : 7
×
8
Marking Scheme
Marking Scheme : 8
×
Youtube : 8
×
9
Marking Scheme
Marking Scheme : 9
×
Youtube : 9
×
10
Marking Scheme
Marking Scheme : 10
×
Youtube : 10
×
11
Marking Scheme
Marking Scheme : 11
×
Youtube : 11
×
12
Marking Scheme
Marking Scheme : 12
×
Youtube : 12
×
13
Marking Scheme
Marking Scheme : 13
×
Youtube : 13
×
14
Marking Scheme
Marking Scheme : 14
×
Youtube : 14
×