O Level
CAIE > O Level
2
Mathematics D [4024]
Paper 1
Paper 2
A Level
CAIE > A Level
4
Mathematics [9709]
Pure Mathematics 1
Pure Mathematics 3
Mechanics
Probability and Statistics 1
Back
CAIE: A Level - Mathematics 9709 - Pure Mathematics 3
Logarithmic and Exponential Functions / Logarithmic Equations with 'log' / Equations using ‘log’
KEYPOINTS:
log
a
b = c means the same as a
c
= b
log
a
a = 1 and log
a
1 = 0
Number below 1 will have a negative logarithm
LAWS OF LOGARITHM
log
a
(xy) = log
a
x + log
a
y
log
a
\(\left(\frac{x}{y}\right)\) = log
a
x – log
a
y
log
a
x
y
= y log
a
x
Past Papers Topic Wise Questions
A Level: Mathematics 9709 - Pure Mathematics 3
Logarithmic and Exponential Functions | Logarithmic Equations with 'log'
1
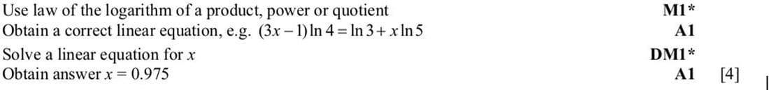
Marking Scheme
Marking Scheme : 1
×
Youtube : 1
×
2
Marking Scheme
Marking Scheme : 2
×
Youtube : 2
×
3
Marking Scheme
Marking Scheme : 3
×
Youtube : 3
×
4
Marking Scheme
Marking Scheme : 4
×
Youtube : 4
×
5
Marking Scheme
Marking Scheme : 5
×
Youtube : 5
×