O Level
CAIE > O Level
2
Mathematics D [4024]
Paper 1
Paper 2
A Level
CAIE > A Level
4
Mathematics [9709]
Pure Mathematics 1
Pure Mathematics 3
Mechanics
Probability and Statistics 1
Back
CAIE: A Level - Mathematics 9709 - Pure Mathematics 3
Integration / Integration of Trigonometric Identities
KEYPOINTS:
\(\int\) e
ax + b
dx = \(\frac{1}{a}\)e
ax + b
+ C
\(\int\) sin(ax + b) dx = –\(\frac{1}{a}\)cos(ax + b) + C
\(\int\) cos(ax + b) dx = \(\frac{1}{a}\)sin(ax + b) + C
\(\int\) sec
2
(ax + b) dx = \(\frac{1}{a}\)tan(ax + b) + C
\(\int\) \(\frac{1}{x}\) dx = ln|x| + C
\(\int\) \(\frac{1}{ax + b}\) dx = \(\frac{1}{a}\)ln|ax + b| + C
\(\int\) \(\frac{1}{1 + x^2}\) dx = tan
–1
x + C
\(\int\) \(\frac{1}{1+b^2x^2}\) dx = \(\frac{1}{b}\) tan
–1
(bx) + C
\(\int\) \(\frac{1}{x^2 + a^2}\) dx = \(\frac{1}{a}\)tan
–1
(\(\frac{x}{a}\)) + C
\(\int\) \(\frac{1}{x^2 – a^2}\) dx = \(\frac{1}{2a}\)ln (\(\frac{x–a}{x+a}\)) + C
\(\int\) \(\frac{1}{a^2 – x^2}\) dx = \(\frac{1}{2a}\)ln (\(\frac{a+x}{a–x}\)) + C
\(\int\) \(\frac{f’(x)}{f(x)}\) dx = ln(f(x)) + C
Past Papers Topic Wise Questions
A Level: Mathematics 9709 - Pure Mathematics 3
Integration | Integration of Trigonometric Identities
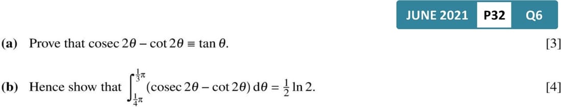
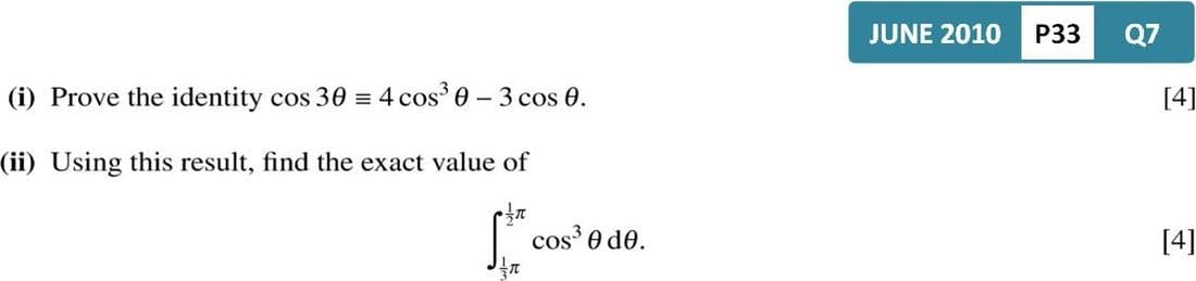
1
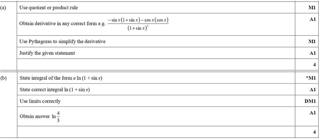
Marking Scheme
Marking Scheme : 1
×
Youtube : 1
×
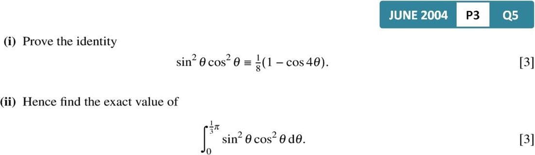
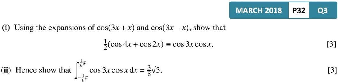
2
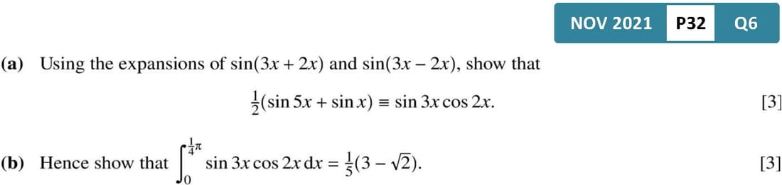
Marking Scheme
Marking Scheme : 2
×
Youtube : 2
×
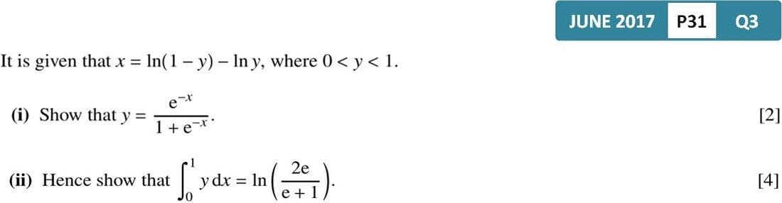
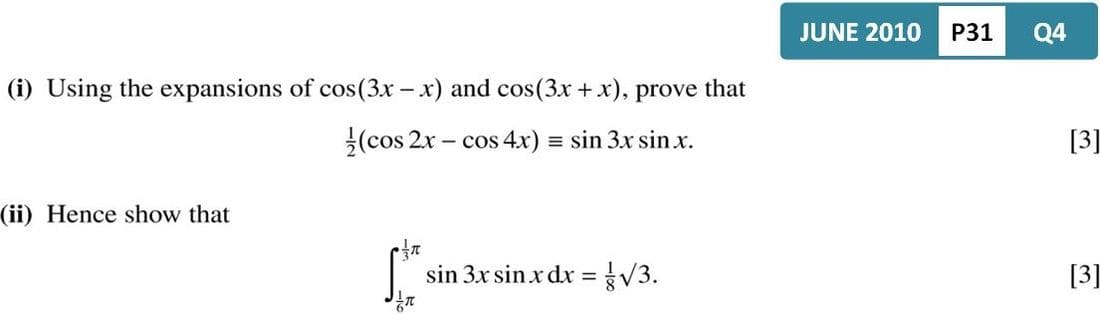
3
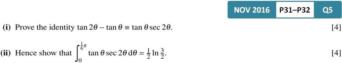
Marking Scheme
Marking Scheme : 3
×
Youtube : 3
×
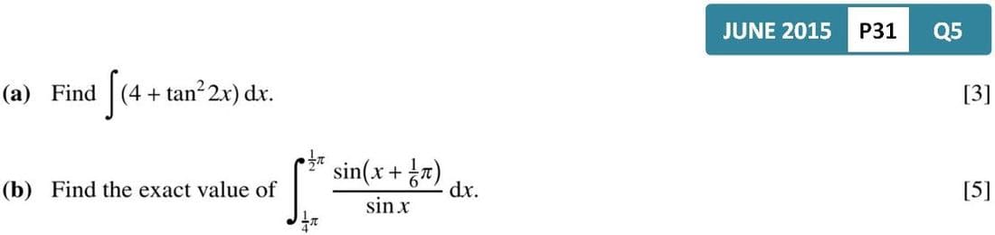
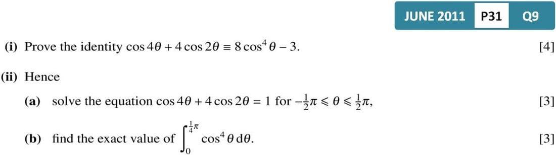
4
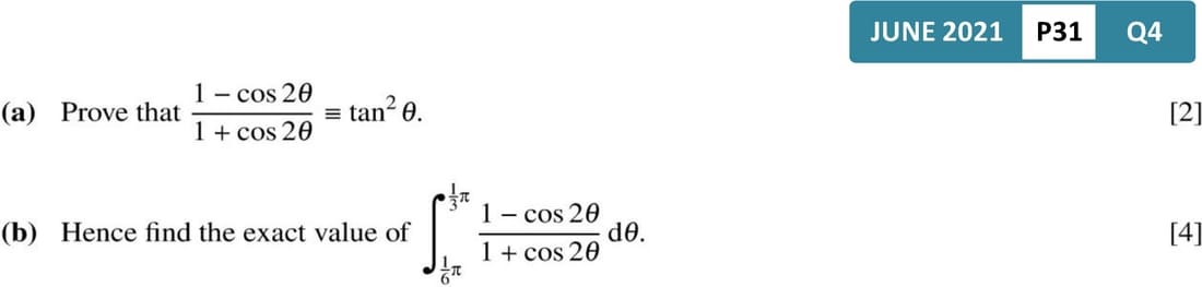
Marking Scheme
Marking Scheme : 4
×
Youtube : 4
×
5
Marking Scheme
Marking Scheme : 5
×
Youtube : 5
×
6
Marking Scheme
Marking Scheme : 6
×
Youtube : 6
×
7
Marking Scheme
Marking Scheme : 7
×
Youtube : 7
×
8
Marking Scheme
Marking Scheme : 8
×
Youtube : 8
×
9
Marking Scheme
Marking Scheme : 9
×
Youtube : 9
×
10
Marking Scheme
Marking Scheme : 10
×
Youtube : 10
×
11
Marking Scheme
Marking Scheme : 11
×
Youtube : 11
×
12
Marking Scheme
Marking Scheme : 12
×
Youtube : 12
×
13
Marking Scheme
Marking Scheme : 13
×
Youtube : 13
×
14
Marking Scheme
Marking Scheme : 14
×
Youtube : 14
×
15
Marking Scheme
Marking Scheme : 15
×
Youtube : 15
×
16
Marking Scheme
Marking Scheme : 16
×
Youtube : 16
×
17
Marking Scheme
Marking Scheme : 17
×
Youtube : 17
×
18
Marking Scheme
Marking Scheme : 18
×
Youtube : 18
×
19
Marking Scheme
Marking Scheme : 19
×
Youtube : 19
×
20
Marking Scheme
Marking Scheme : 20
×
Youtube : 20
×
21
Marking Scheme
Marking Scheme : 21
×
Youtube : 21
×
22
Marking Scheme
Marking Scheme : 22
×
Youtube : 22
×
23
Marking Scheme
Marking Scheme : 23
×
Youtube : 23
×
24
Marking Scheme
Marking Scheme : 24
×
Youtube : 24
×