O Level
CAIE > O Level
2
Mathematics D [4024]
Paper 1
Paper 2
A Level
CAIE > A Level
4
Mathematics [9709]
Pure Mathematics 1
Pure Mathematics 3
Mechanics
Probability and Statistics 1
Back
CAIE: A Level - Mathematics 9709 - Pure Mathematics 3
Integration / Integration by Parts / Questions using Substitution
KEYPOINTS:
Area =
\(\int_{a}^{b} f(x) \, dx\) = \(\int_{a}^{b} y \, dx\)
Area =
\(\int_{a}^{b} x \, dy\) = \(\int_{a}^{b} f(y) \, dy\)
Past Papers Topic Wise Questions
A Level: Mathematics 9709 - Pure Mathematics 3
Integration | Integration by Parts
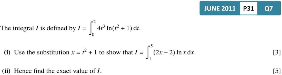
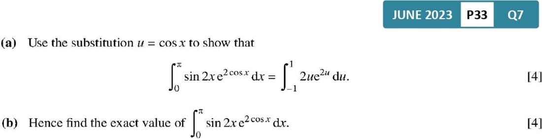
1
Marking Scheme
Marking Scheme : 1
×
Youtube : 1
×
2
Marking Scheme
Marking Scheme : 2
×
Youtube : 2
×
3
Marking Scheme
Marking Scheme : 3
×
Youtube : 3
×
4
Marking Scheme
Marking Scheme : 4
×
Youtube : 4
×
5
Marking Scheme
Marking Scheme : 5
×
Youtube : 5
×