O Level
CAIE > O Level
2
Mathematics D [4024]
Paper 1
Paper 2
A Level
CAIE > A Level
4
Mathematics [9709]
Pure Mathematics 1
Pure Mathematics 3
Mechanics
Probability and Statistics 1
Back to Content Page
CAIE: A Level - Mathematics 9709 - Pure Mathematics 1
Trigonometry / Graphs of Trigonometric Functions / Domain and Range of Trigonometric Functions
KEYPOINTS:
y = a sin x
OR
y = a cos x
[The range of values are
–a ≤ y ≤ a
]
y = sin bx
OR
y = cos bx
[The range of values are
–1 ≤ y ≤ 1
]
y = sin (x + c)
OR
y = cos (x + c)
[The range of values are
–1 ≤ y ≤ 1
]
y = sin x + d
OR
y = cos x + d
[The range of values are
–1 ± d ≤ y ≤ 1 ± d
]
Past Papers Topic Wise Questions
A Level: Mathematics 9709 - Pure Mathematics 1
Trigonometry | Graphs of Trigonometric Functions
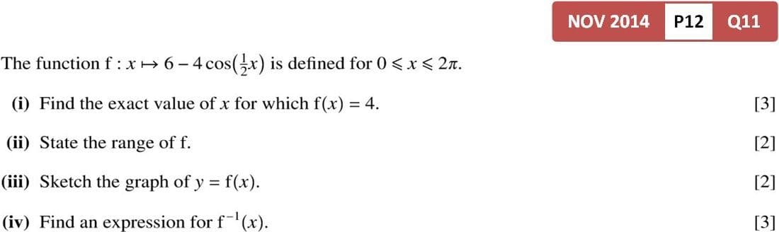
1
Marking Scheme
Marking Scheme : 1
×
Youtube : 1
×
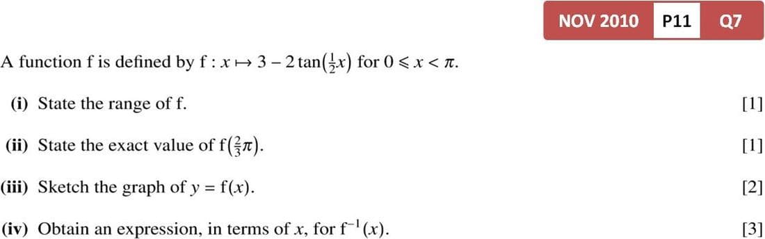
2
Marking Scheme
Marking Scheme : 2
×
Youtube : 2
×
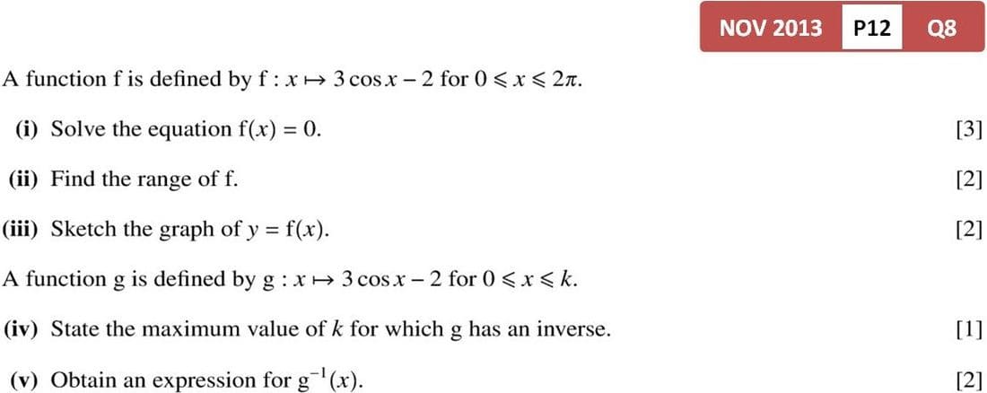
3
Marking Scheme
Marking Scheme : 3
×
Youtube : 3
×
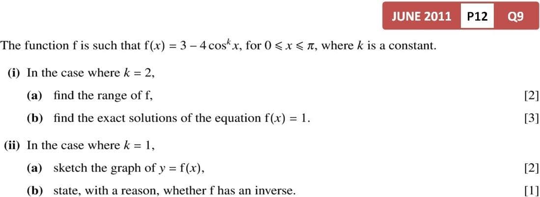
4
Marking Scheme
Marking Scheme : 4
×
Youtube : 4
×
5
Marking Scheme
Marking Scheme : 5
×
Youtube : 5
×
6
Marking Scheme
Marking Scheme : 6
×
Youtube : 6
×
7
Marking Scheme
Marking Scheme : 7
×
Youtube : 7
×
8
Marking Scheme
Marking Scheme : 8
×
Youtube : 8
×
9
Marking Scheme
Marking Scheme : 9
×
Youtube : 9
×
10
Marking Scheme
Marking Scheme : 10
×
Youtube : 10
×
11
Marking Scheme
Marking Scheme : 11
×
Youtube : 11
×
12
Marking Scheme
Marking Scheme : 12
×
Youtube : 12
×
13
Marking Scheme
Marking Scheme : 13
×
Youtube : 13
×
14
Marking Scheme
Marking Scheme : 14
×
Youtube : 14
×