O Level
CAIE > O Level
2
Mathematics D [4024]
Paper 1
Paper 2
A Level
CAIE > A Level
4
Mathematics [9709]
Pure Mathematics 1
Pure Mathematics 3
Mechanics
Probability and Statistics 1
Back
CAIE: A Level - Mathematics 9709 - Pure Mathematics 1
Quadratics / Completing Square Form
KEYPOINTS:
If
a > 0
[then graph is
U
–shaped] and if
a < 0
[then graph is
∩
–shaped]
ax
2
+ bx + c [Standard Form]
≡
a(x – h)
2
+ k [Completed Square Form]
where
(h, k)
is
vertex
of the parabola [Minimum OR Maximum point] and
equation of line of symmetry
is
x = h
OR
x = – \(\frac{b}{2a}\)
Past Papers Topic Wise Questions
A Level: Mathematics 9709 - Pure Mathematics 1
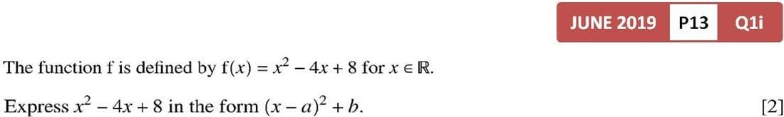
Quadratics | Completing Square Form
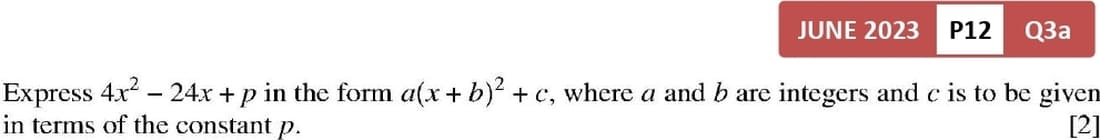
1
Marking Scheme
Marking Scheme : 1
×
Youtube : 1
×
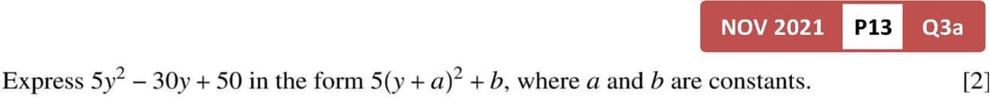
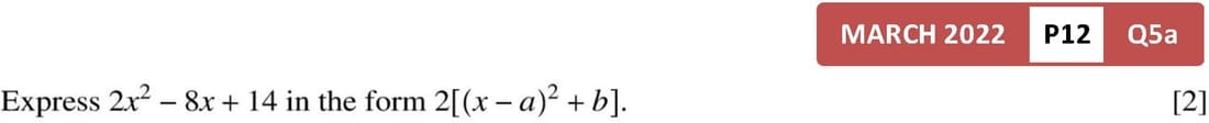
2
Marking Scheme
Marking Scheme : 2
×
Youtube : 2
×
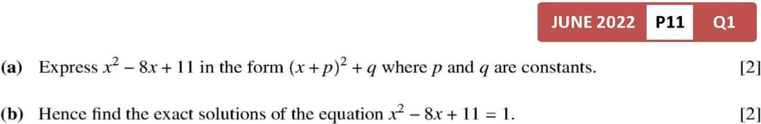
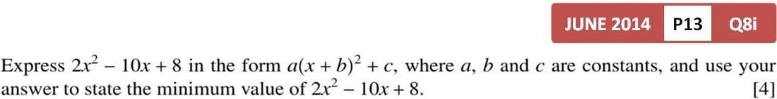
3
Marking Scheme
Marking Scheme : 3
×
Youtube : 3
×
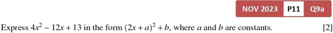
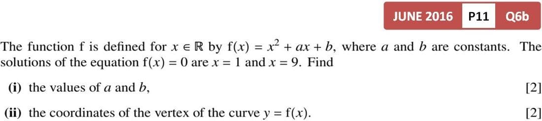
4
Marking Scheme
Marking Scheme : 4
×
Youtube : 4
×
5
Marking Scheme
Marking Scheme : 5
×
Youtube : 5
×
6
Marking Scheme
Marking Scheme : 6
×
Youtube : 6
×
7
Marking Scheme
Marking Scheme : 7
×
Youtube : 7
×
8
Marking Scheme
Marking Scheme : 8
×
Youtube : 8
×
9
Marking Scheme
Marking Scheme : 9
×
Youtube : 9
×
10
Marking Scheme
Marking Scheme : 10
×
Youtube : 10
×
11
Marking Scheme
Marking Scheme : 11
×
Youtube : 11
×
12
Marking Scheme
Marking Scheme : 12
×
Youtube : 12
×
13
Marking Scheme
Marking Scheme : 13
×
Youtube : 13
×
14
Marking Scheme
Marking Scheme : 14
×
Youtube : 14
×
15
Marking Scheme
Marking Scheme : 15
×
Youtube : 15
×
16
Marking Scheme
Marking Scheme : 16
×
Youtube : 16
×
17
Marking Scheme
Marking Scheme : 17
×
Youtube : 17
×
18
Marking Scheme
Marking Scheme : 18
×
Youtube : 18
×
19
Marking Scheme
Marking Scheme : 19
×
Youtube : 19
×
20
Marking Scheme
Marking Scheme : 20
×
Youtube : 20
×
21
Marking Scheme
Marking Scheme : 21
×
Youtube : 21
×
22
Marking Scheme
Marking Scheme : 22
×
Youtube : 22
×
23
Marking Scheme
Marking Scheme : 23
×
Youtube : 23
×
24
Marking Scheme
Marking Scheme : 24
×
Youtube : 24
×
25
Marking Scheme
Marking Scheme : 25
×
Youtube : 25
×
26
Marking Scheme
Marking Scheme : 26
×
Youtube : 26
×
27
Marking Scheme
Marking Scheme : 27
×
Youtube : 27
×