O Level
CAIE > O Level
2
Mathematics D [4024]
Paper 1
Paper 2
A Level
CAIE > A Level
4
Mathematics [9709]
Pure Mathematics 1
Pure Mathematics 3
Mechanics
Probability and Statistics 1
Back to Content Page
CAIE: A Level - Mathematics 9709 - Pure Mathematics 1
Functions / Graphs of Functions / Quadratic Graph
Past Papers Topic Wise Questions
A Level: Mathematics 9709 - Pure Mathematics 1
Functions | Graphs of Functions
1
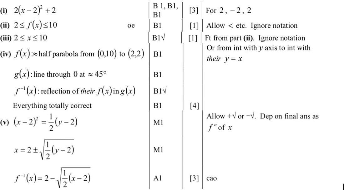
Marking Scheme
Marking Scheme : 1
×
Youtube : 1
×
2
Marking Scheme
Marking Scheme : 2
×
Youtube : 2
×
3
Marking Scheme
Marking Scheme : 3
×
Youtube : 3
×
4
Marking Scheme
Marking Scheme : 4
×
Youtube : 4
×
5
Marking Scheme
Marking Scheme : 5
×
Youtube : 5
×
6
Marking Scheme
Marking Scheme : 6
×
Youtube : 6
×
7
Marking Scheme
Marking Scheme : 7
×
Youtube : 7
×