CAIE: A Level - Mathematics 9709 - Pure Mathematics 1

Functions / Domain and Range of Inverse Functions

  KEYPOINTS:  

Past Papers Topic Wise Questions A Level: Mathematics 9709 - Pure Mathematics 1 Functions | Domain and Range of Inverse Functions

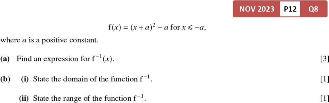
1
Marking Scheme
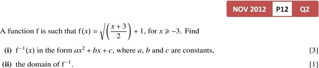
2
Marking Scheme
3
Marking Scheme
4
Marking Scheme
5
Marking Scheme
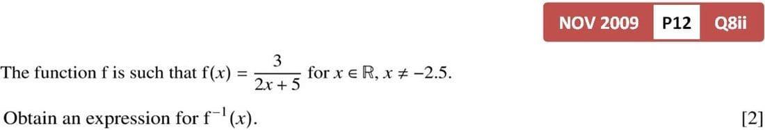
6
Marking Scheme
7
Marking Scheme
8
Marking Scheme
9
Marking Scheme
10
Marking Scheme
11
Marking Scheme
12
Marking Scheme
13
Marking Scheme
14
Marking Scheme
15
Marking Scheme
16
Marking Scheme
17
Marking Scheme
18
Marking Scheme