CAIE: A Level - Mathematics 9709 - Pure Mathematics 1
Functions / Domain and Range of Functions
KEYPOINTS:
If a function maps x onto f(x), then the values of x is the Domain of the function and the corresponding values of f(x) is the Range of the function.
If every element in the domain is mapped onto exactly one element in the range we say the function is a one–one function.
If every element in the domain is mapped onto exactly one element in the range, but some elements in the range arise from more than one element in the domain we say the function is a many–to–one function.
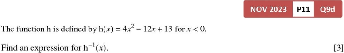
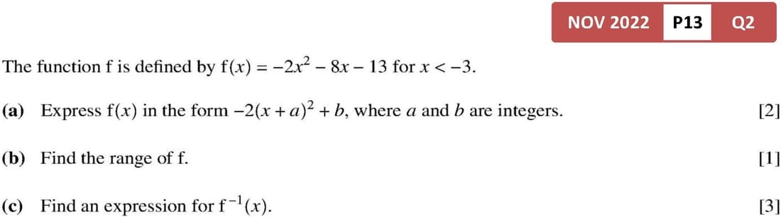
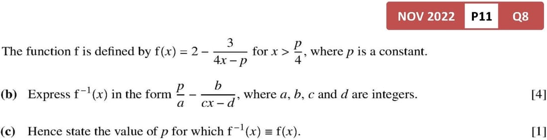
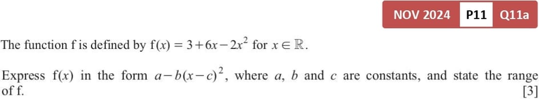
Past Papers Topic Wise Questions
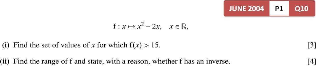
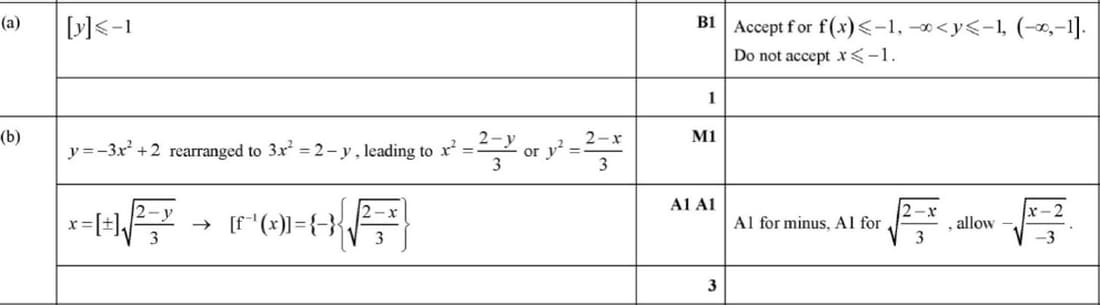
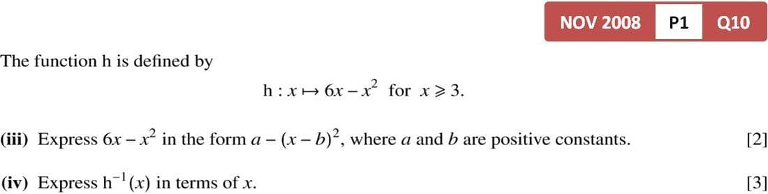
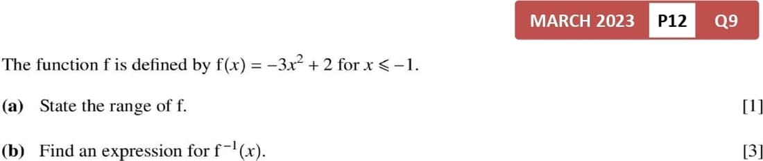
A Level: Mathematics 9709 - Pure Mathematics 1
Functions | Domain and Range of Functions