O Level
CAIE > O Level
2
Mathematics D [4024]
Paper 1
Paper 2
A Level
CAIE > A Level
4
Mathematics [9709]
Pure Mathematics 1
Pure Mathematics 3
Mechanics
Probability and Statistics 1
Back
CAIE: A Level - Mathematics 9709 - Pure Mathematics 1
Differentiation / Increasing / Decreasing Function
KEYPOINTS:
A function is increasing if the gradient is positive
A function is decreasing if the gradient is negative
Past Papers Topic Wise Questions
A Level: Mathematics 9709 - Pure Mathematics 1
Differentiation | Increasing / Decreasing Function
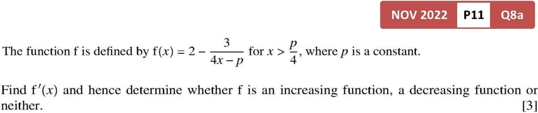
1
Marking Scheme
Marking Scheme : 1
×
Youtube : 1
×
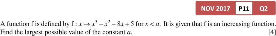
2
Marking Scheme
Marking Scheme : 2
×
Youtube : 2
×
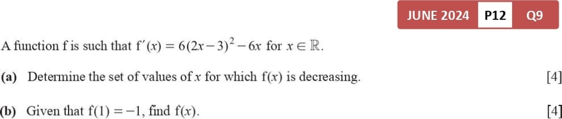
3
Marking Scheme
Marking Scheme : 3
×
Youtube : 3
×
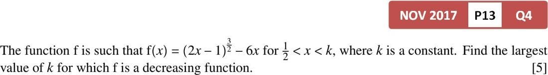
4
Marking Scheme
Marking Scheme : 4
×
Youtube : 4
×
5
Marking Scheme
Marking Scheme : 5
×
Youtube : 5
×
6
Marking Scheme
Marking Scheme : 6
×
Youtube : 6
×
7
Marking Scheme
Marking Scheme : 7
×
Youtube : 7
×
8
Marking Scheme
Marking Scheme : 8
×
Youtube : 8
×
9
Marking Scheme
Marking Scheme : 9
×
Youtube : 9
×
10
Marking Scheme
Marking Scheme : 10
×
Youtube : 10
×
11
Marking Scheme
Marking Scheme : 11
×
Youtube : 11
×
12
Marking Scheme
Marking Scheme : 12
×
Youtube : 12
×
13
Marking Scheme
Marking Scheme : 13
×
Youtube : 13
×
14
Marking Scheme
Marking Scheme : 14
×
Youtube : 14
×
15
Marking Scheme
Marking Scheme : 15
×
Youtube : 15
×
16
Marking Scheme
Marking Scheme : 16
×
Youtube : 16
×
17
Marking Scheme
Marking Scheme : 17
×
Youtube : 17
×
18
Marking Scheme
Marking Scheme : 18
×
Youtube : 18
×
19
Marking Scheme
Marking Scheme : 19
×
Youtube : 19
×
20
Marking Scheme
Marking Scheme : 20
×
Youtube : 20
×
21
Marking Scheme
Marking Scheme : 21
×
Youtube : 21
×
22
Marking Scheme
Marking Scheme : 22
×
Youtube : 22
×
23
Marking Scheme
Marking Scheme : 23
×
Youtube : 23
×
24
Marking Scheme
Marking Scheme : 24
×
Youtube : 24
×
25
Marking Scheme
Marking Scheme : 25
×
Youtube : 25
×
26
Marking Scheme
Marking Scheme : 26
×
Youtube : 26
×
27
Marking Scheme
Marking Scheme : 27
×
Youtube : 27
×
28
Marking Scheme
Marking Scheme : 28
×
Youtube : 28
×
29
Marking Scheme
Marking Scheme : 29
×
Youtube : 29
×