O Level
CAIE > O Level
2
Mathematics D [4024]
Paper 1
Paper 2
A Level
CAIE > A Level
4
Mathematics [9709]
Pure Mathematics 1
Pure Mathematics 3
Mechanics
Probability and Statistics 1
Back
CAIE: A Level - Mathematics 9709 - Pure Mathematics 1
Binomial Expansion / Find the Term Independent of ‘x’
Past Papers Topic Wise Questions
A Level: Mathematics 9709 - Pure Mathematics 1
Binomial Expansion | Find the Term Independent of ‘x’
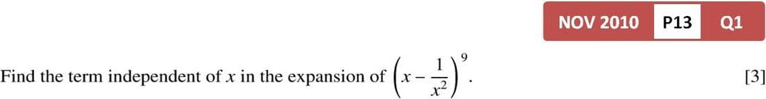
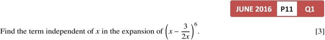
1
Marking Scheme
Marking Scheme : 1
×
Youtube : 1
×
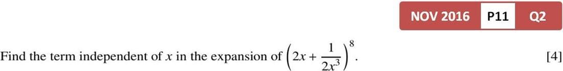
2
Marking Scheme
Marking Scheme : 2
×
Youtube : 2
×
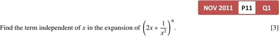
3
Marking Scheme
Marking Scheme : 3
×
Youtube : 3
×
4
Marking Scheme
Marking Scheme : 4
×
Youtube : 4
×
5
Marking Scheme
Marking Scheme : 5
×
Youtube : 5
×
6
Marking Scheme
Marking Scheme : 6
×
Youtube : 6
×
7
Marking Scheme
Marking Scheme : 7
×
Youtube : 7
×
8
Marking Scheme
Marking Scheme : 8
×
Youtube : 8
×
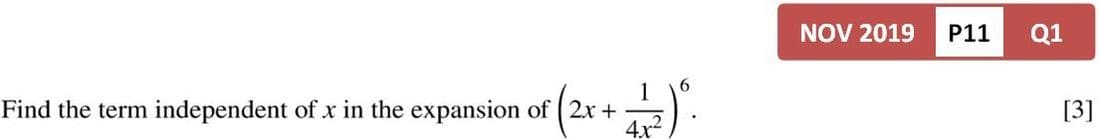
9
Marking Scheme
Marking Scheme : 9
×
Youtube : 9
×
10
Marking Scheme
Marking Scheme : 10
×
Youtube : 10
×
11
Marking Scheme
Marking Scheme : 11
×
Youtube : 11
×